Técnicas de recuento y combinatoria – Temario secundaria

Técnicas de recuento y combinatoria – Temario secundaria. Aprende todo sobre el algoritmo de conteo o recuento y cuáles son las bases y resolución de problemas en combinatoria, algo que deberás saber en el caso de estar preparando oposiciones para enseñanza secundaria.

Las técnicas de recuento

Cuando hablamos de técnicas de recuento, nos estamos refiriendo a los algoritmos que se usan para contar, y así averiguar cuál es el cardinal de un conjunto. La combinatoria es una de esas técnicas de recuento, a partir de variaciones, permutaciones y combinaciones, tal y como vamos a explicaros a continuación.

El principio fundamental de recuento, también llamado principio multiplicativo, postula que:

“ Cuando un evento se compone de n pasos sucesivos e independientes, de modo que las posibilidades de la primera etapa son xy las posibilidades de la segunda etapa son y, da como resultado el número total de posibilidades para que el evento ocurra, dado por el producto (x). (y) “.

En resumen, el principio fundamental de recuento multiplica el número de opciones entre las opciones que se le presentan.

Ejemplo:

Una persona vende una promoción de refrigerios a un precio único. Un sandwich, una bebida y un postre están incluidos en la promoción. Se ofrecen tres opciones de sándwich: hamburguesa especial, sándwich vegetariano y hot dog completo. Como opción de bebida puedes elegir 2 tipos: jugo de manzana o melocotón. Para el postre, hay cuatro opciones: cupcake de cereza, cupcake de chocolate, cupcake de fresa y cupcake de vainilla. Considerando todas las opciones ofrecidas, ¿de cuántas maneras puede un cliente elegir su refrigerio?

Solución

Podemos comenzar a resolver el problema presentado construyendo un árbol de posibilidades, como se ilustra a continuación:

Siguiendo el diagrama, podemos contar directamente cuántos tipos diferentes de promoción que podemos elegir. Por lo tanto, identificamos que hay 24 combinaciones posibles.

Todavía podemos resolver el problema utilizando el principio multiplicativo. Para conocer las diferentes posibilidades de promoción, simplemente multiplica la cantidad de sándwiches, bebidas y postres.

Posibilidades totales: 3x2x4 = 24

Por lo tanto, tenemos 24 tipos diferentes de refrigerios para elegir en la promoción.

El principio fundamental de recuento puede usarse en la mayoría de los problemas relacionados con el recuento y la combinatoria. Sin embargo, en algunas situaciones su uso hace que la resolución sea muy laboriosa.

Por lo tanto, utilizamos algunas técnicas para resolver problemas con ciertas características. Básicamente hay tres tipos de agrupaciones: variaciones, combinaciones y permutaciones, que vemos a continuación.

Las variaciones simples y ordinarias

Las variaciones es una de las técnicas de conteo basada en agrupar elementos, aunque teniendo en cuenta que es importante el orden, de modo que puede ser que no tomemos todos los elementos y estos se pueden repetir o no, de modo que pueden ser simples y ordinarias.

Variaciones simples

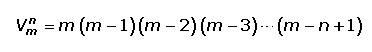
Las variaciones simples consisten en todas las agrupaciones de k elementos, dispuestos linealmente, y se pueden formar a partir de n elementos distintos ( k < n ) , sin que ninguno de estos repita. Se pueden diferenciar en función de las agrupaciones que la formen o cómo se ordenen.

Esta es la fórmula dentro de las variaciones simples:

Ejemplo:

¿Cuántas camisetas diferentes, con tres franjas iguales pero de colores distintos, pueden hacerse a partir de siete colores diferentes?

Respuesta:

En este caso, como vimos anteriormente, se puede resolver con el principio multiplicativo, pero teniendo cuenta que para el primer color podremos disponer de 7 opciones distintas, mientras que para el segundo tendremos 6 y para el tercero, tendremos 5.

Según la fórmula:

o también:

7 x 6 x 5 = 210

Variaciones ordinarias

Se llama variaciones ordinarias son el nombre que recibe el conjunto de m elementos tomados de n en n (m ≥ n) de modo que importa el orden, no repiten elementos y no entran todos los elementos.

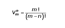
Esta es su fórmula:

O también se pueden calcular a través de la fórmula de factoriales que corresponde a:

Ejemplo:

Cálculo de las variaciones correspondiente a 6 elementos pero tomados de tres en tres.

Calcular las variaciones de 6 elementos tomados de tres en tres. La solución será la siguiente:

Permutaciones simples y ordinarias

La permutación se puede explicar como asignar n elementos en n espacios y contar todas las posibles secuencias ordenadas que se pueden formar. Se pueden dar sin embargo, dos tipos de permutaciones: simples y ordinarias

Permutaciones simples

Podemos considerar la permutación simple como un caso particular de disposición, donde los elementos formarán grupos que difieren solo en orden. Las permutaciones simples de los elementos P, Q y R son: PQR, PRQ, QPR, QRP, RPQ, RQP. Para determinar el número de grupos de una permutación simple, usamos la siguiente expresión P = n! .

n! = n * (n-1) * (n-2) * (n-3) * …. * 3 * 2 * 1

Por ejemplo

4! = 4 * 3 * 2 * 1 = 24

Ejemplo:

¿Cuántos anagramas podemos formar con la palabra GATO?

Respuesta:

Podemos variar las letras de lugar y formar varios anagramas formulando un caso de permutación simple.

P = 4! = 24

Permutaciones ordinarias

La permutaciones ordinarias corresponden a las distintas configuraciones que pueden formarse pero que en cada una intervengan todos los elementos y que dos configuraciones se diferencien por el orden de sus elementos.

Esta es la fórmula que se aplica para las permutaciones ordinarias:

       Pn = n · (n – 1) · (n – 2) · … · 2 · 1 = n!

Ejemplo:

¿De cuántas maneras se pueden sentar 5 personas en un coche?

Respuesta:

Combinaciones simples y ordinarias

Las combinaciones son otro tipo de agrupación donde los arreglos se diferencian por la naturaleza de sus elementos. Podemos clasificar combinaciones simples y ordinarias.

Combinaciones simples

En la combinación simple, el orden de los elementos en la agrupación no interfiere. Estos arreglos difieren solo en la naturaleza de sus elementos. Por lo tanto, si tenemos un conjunto A que consta de n elementos tomados P a P cualquier subconjunto de A formado por elementos p será una combinación, dada por la siguiente fórmula:

Por ejemplo, considera un conjunto de seis elementos que se tomarán de dos en dos:

Una aplicación importante de combinación simple es en loterías, pero también en casos como por ejemplo que en un curso de lengua extranjera estudian treinta estudiantes. El coordinador del curso quiere formar un grupo de tres estudiantes para intercambiar en otro país. ¿Cuántos equipos posibles se pueden formar?

Resolución

El número de grupos posibles puede ser dado por la fórmula:

Se pueden formar 4060 equipos.

Combinaciones ordinarias:

Las combinaciones ordinarias están formadas por grupos de n elementos, tomados de r en r, que se pueden formar con esos elementos, por lo que no intervienen todos los elementos, no importa el orden y no se pueden repetir.

Se representan con la siguiente fórmula:

 

Ejemplo:

Por ejemplo, calculemos la combinación sin repetición de 5 elementos tomados de 2 en 2:

Respuesta:

 

Y si resolvemos:

 

Técnicas para resolución de problemas de técnicas de recuento y combinatoria

Por último os queremos hablar de las técnicas para resolución de problemas de técnicas de recuento y combinatoria, las cuáles suelen referirse a los problemas de existencia y los de enumeración.

Problemas de existencia

En los que se plantea la cuestión sobre si existen o no las ordenaciones o configuraciones consideradas. En estos problemas se aplica el estudio de la paridad en el que un conjunto puede contener un número par o impar de elementos.

En el caso de tener un número impar de elementos, al menos uno de ellos existe de modo que se prueba que sea posible o existente.

Problemas de enumeración

En los que se ha de especificar el número de configuraciones pedidas y para el que corresponden dos técnicas: las relacionadas con contar y aquellas que descomponen el problema en uno más sencillo.

Tenemos así:

  • Principio de adición: Una tarea se puede hacer de m formas distintas, mientras que otra se puede hacer de n formas. Es decir, no se pueden hacer de  forma simultánea, pero sí que se puede realizar cualquiera de ellas de m+n formas distintas.
  • Principio de multiplicación: Un procedimiento se puede dividir en dos etapas, habiendo en una m resultados y en otra n, de modo que el total se puede hacer de mxn formas distintas.
  • Correspondencia uno a uno: Se debe establecer una correspondencia que es biyectiva entre el conjunto que se desea contar, A, y una sección S(n) de los números naturales.
  • Principio de distribución: Se aplica en el “Principio de los cajones o del palomar” de Dirichlet, en el que “si m palomas ocupan n nidos, con n<m, entonces un nido tiene dos o más palomas en su interior”.
Categorías General

Deja un comentario